Instrumen Pengumpulan Data Dan Informasi Pendukung Akreditasi Smp
Berikut ini kami bagikan INSTRUMEN PENGUMPULAN DATA DAN INFORMASI PENDUKUNG IPDIP AKREDITASI SMPMTs dalam format Word yang bisa dijadikan Dasar untuk Pemegang 8 SNP Standar Nasional Pendidikan meliputi Standar Isi Standar Proses Standar Kompetensi Lulusan Standar Sarana Prasarana Standar Pendidik dan tenaga Kependidikan Standar Pengelolaan Standar Pembiayaan dan Standar Penilaian. Perangkat Akreditasi 2019 merupakan satu kesatuan yang terdiri atas instrumen petunjuk teknis data pendukung dan sistem penskoran.
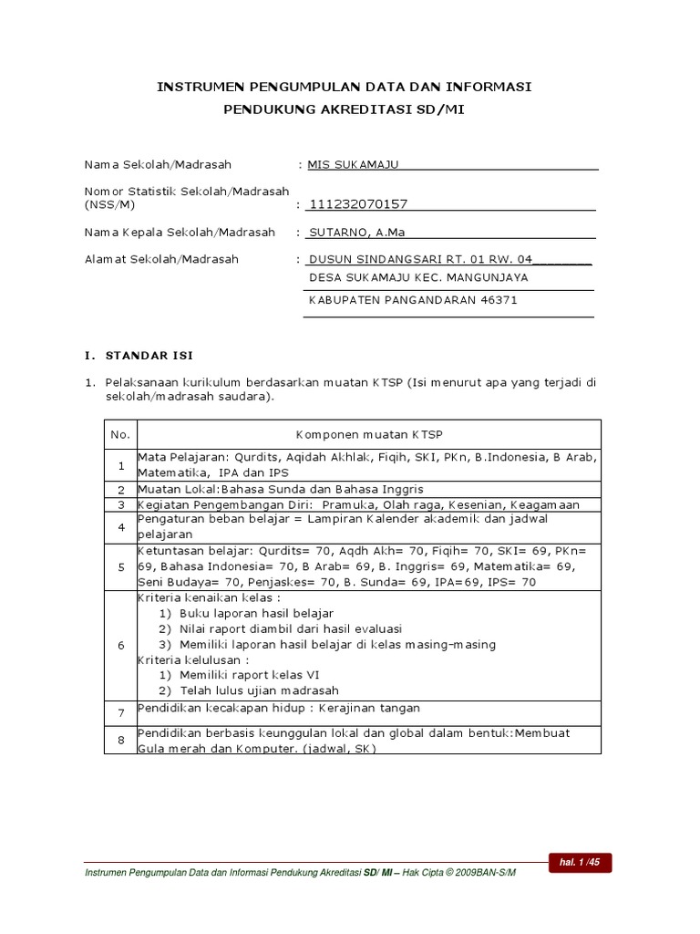
Doc Perangkat Akreditasi Sd Mi Instrumen Pengumpulan Data Dan Informasi Pendukung Akreditasi Sd Mi Badan Akreditasi Nasional Sekolah Madrasah Fitri Rahmadhani Academia Edu
Keempat perangkat dokumen tersebut merupakan satu kesatuan yang tidak.
Instrumen pengumpulan data dan informasi pendukung akreditasi smp. Pedoman Penskoran dan Pemeringkatan Hasil Akreditasi. Ngraho ketuwan Km. Pengisian Instrumen Pengumpulan Data dan Informasi Pendukung IPDIP Akreditasi merupakan tanggung jawab sepenuhnya dari kepala sekolah.
Hasil akreditasi diwujudkan dalam bentuk pengakuan peringkat kelayakan. SD N Karangayu 02. Apabila perlu sekolah membentuk tim yang terdiri atas pihak- pihak relevan agar dapat mengisi seluruh butir dalam IPDIP Akreditasi dengan akurat tepat dan objektif.
Perangkat Akreditasi SMP MTS terdiri atas komponen berikut. Jenis kegiatan ekstrakurikuler No. _____ Nomor Statistik SekolahMadrasah.
Jalan Kenconowungu IV No. Kementerian Pendidikan dan Kebudayaan melalui Badan Akreditasi Nasional SekolahMadrasah di tahun 2017 ini telah menggunakan perangkat dan instrumen terbaru dalam melaksanakan akreditasi. Pengisian Instrumen Pengumpulan Data dan Informasi Pendukung IPDIP Akreditasi merupakan tanggung jawab sepenuhnya dari kepala sekolah.
Format Pengumpulan Data dan Informasi Pendukung IPDIP Akreditasi merupakan sebuah dokumen yang digunakan untuk. INSTRUMEN PENGUMPULAN DATA DAN INFORMASI PENDUKUNG AKREDITASI SDMI. Instrumen Perangkat Akreditasi SMPMTs Lengkap.
INSTRUMEN PENGUMPULAN DATA DAN INFORMASI PENDUKUNG AKREDITASI SDMI. Akreditasi sekolah adalah kegiatan penilaian kelayakan dan kinerja suatu sekolah berdasarkan standar yang telah ditetapkan. Instrumen Pengumpulan Data dan Informasi Pendukung Akreditasi SMPMTs 7.
Selengkapnya tentang Instrumen Pengumpulan Data Dan Informasi Pendukung Akreditasi SD-MI silahkan download menggunakan link di bawah ini. INSTRUMEN PENGUMPULAN DATA DAN INFORMASI. View 8 STANDAR AKREDITASIdocx from CIS MISC at 17 Agustus 1945 University Samarinda.
Instrumen dan Perangkat Akreditasi untuk SMP dan MTs Tahun 2017 ini merupakan seri artikel terkait instrumen akreditasi terbaru. 4 Wado TelpFax 0296420257 Kode Pos. Badan akreditasi nasional sekolah madrasah ban s m.
Instrumen akreditasi tebaru dalam versi Microsoft Word ini memang kerap dibutuhkan bagi madrasah yang tengah mempersiapkan diri menghadapi akreditasi mengingat file instrumen resmi dari BAN-SM dalam bentuk PDF sehingga menyulitkan. PERANGKAT AKREDITASI SD MI INSTRUMEN PENGUMPULAN data DAN INFORMASI PENDUKUNG AKREDITASI SD MI BADAN AKREDITASI NASIONAL SEKOLAH MADRASAH SEKOLAH DASAR DIAN ANDALAS KECAMATAN PAUH KOTA PADANG 2012 SALINAN LAMPIRAN III PERATURAN MENTERI PENDIDIKAN NASIONAL NOMOR 11 TAHUN 2009 TANGGAL 4 MARET 2009 INSTRUMEN PENGUMPULAN DATA DAN INFORMASI PENDUKUNG AKREDITASI SEKOLAH DASARMADRASAH IBTIDAIYAH. Perangkat Akreditasi Tahun 2019 Lengkap Dengan File Pendukung Pendidikan Dasar Kurikulum Sekolah.
Selamat datang pada kesempatan ini kami berbagi Bukti Fisik Terbaru 8 Standar Akreditasi Tahun 2021. Dan b data identitas sekolahmadrasah. INSTRUMEN PENGUMPULAN DATA DAN INFORMASI PENDUKUNG AKREDITASI SMPMTs Nama SekolahMadrasah.
Nomor Statistik SekolahMadrasah SSNM. Jenis-jenis program pengembangan diri dalam bentuk kegiatan ekstrakurikuler yang dimiliki sekolahmadrasah. 16 Kelurahan Karangayu Kecamatan Semarang Barat Kota Semarang.
Nama Kepala SekolahMadrasah. Tujuannya untuk memudahkan kita dalam visitasi oleh tim assesor BAN dari provinsi atau pusat bagi MadrasahSekolah yang belum akreditas tahun ini. Instrumen Akreditasi SMPMTs dan Instrumen Pengumpulan Data dan Informasi Pendukung IPDIP Akreditasi SMPMTs yang akan digunakan oleh Tim Asesor pada saat melakukan klarifikasi verifikasi dan validasi.
Proses penyusunan dan pengembangan Perangkat Akreditasi 2018 membutuhkan waktu lebih dari tiga tahun melalui tahapan kajianpenyusunan naskah akademik uji coba di provinsi expert judgement validasi oleh Badan Standar Nasional Pendidikan BSNP penyelerasan. Download Instrumen Pengumpulan Data dan Informasi Pendukung Akreditasi 2018 ini merupakan format terbaru yang akan saya bagikan dalam kesempatan kali ini khususnya untuk sekolah yang akan mendaftarkan diri dalam akreditasi tahun ini baik untuk sekolah jenjang SD SMP SMA dan SMK. Instrumen Pengumpulan Data dan Informasi Pendukung Akreditasi SMP MTs merupakan tabel data isian yang diisi oleh sekolahmadrasah sebagai data pendukung dalam pengisian instrumen akreditasi.
Download Instrumen 8 Standar Akreditasi SMP MTs Tahun 2019. Apabila perlu sekolah membentuk tim yang terdiri atas pihak- pihak relevan agar dapat mengisi seluruh butir dalam IPDIP Akreditasi dengan akurat tepat dan objektif. Instrumen Pengumpulan Data dan Informasi Pendukung Akreditasi.
INSTRUMEN PENGUMPULAN DATA DAN INFORMASI PENDUKUNG AKREDITASI SMPMTs Nama SekolahMadrasah. Petunjuk Teknis Juknis Pengisian Instrumen Akreditasi. Nomor Statistik SekolahMadrasah SSNM.
Akreditasi dilakukan oleh Badan Akreditasi Sekolah Nasional BASNAS. Sebelum mengisi Instrumen Akreditasi isilah terlebih dahulu a pernyataan kepala sekolahmadrasah. Instrumen pengumpulan data dan informasi pendukung akreditasi merupa- kan satu kesatuan dengan instrumen akreditasi SMPMTs dan juknis pengi- sian.
Termasuk bagi Sekolah Menengah Pertama dan Madrasah Tsanawiyah. Jenis kegiatan ekstrakurikuler 1 7 2 8 3 9 4 10 5 11 6 12 8. MTs AL MARUF KARTAYUDA.
1 instrumen akreditasi 2 petunjuk teknis juknis pengisian instrumen akreditasi 3 instrumen pengumpulan data dan informasi pendukung akreditasi 4 pedoman penskoran dan pemeringkatan hasil akreditasi. Memenuhi permintaan para pembaca blog Ayo Madrasah menyediakan file instrumen dan perangkat akreditasi SMPMTs Tahun 2017 dalam format Microsoft Word doc.
Instrumen Pengumpulan Data Dan Informasi Pendukung Akreditasi Sma
Instrumen Pengumpulan Data Dan Informasi Pendukung Akreditasi Docx
Pdf Peyunjuk Instrumen Pengumpulan Data Dan Informasi Pendukung Akreditasi Smp Mts Yazid A Academia Edu
Instrumen Pengumpulan Data Dan Informasi Pendukung Akreditasi Sd
Instrumen Pengumpulan Data Dan Informasi Pendukung Akreditasi Sma Ma
Perangkat Akreditasi Dan Instrumen Pengumpulan Data 2 Petunjuk Umum1
3 3 Data Pendukung Smp Mts 14 03 20
Instrumen Pengumpulan Data Dan Informasi Pendukung Akreditasi Smp 2013 Copy

Posting Komentar untuk "Instrumen Pengumpulan Data Dan Informasi Pendukung Akreditasi Smp"